Авдіївка.UA
(06236) 3-21-88/факс:(06236) 3-21-88
ПРО НАС
Керівництво
ТАРИФИ
Структура діючих тарифів
Платні послуги
Послуги транспорту
ПРО НАС
Керівництво
ТАРИФИ
Структура діючих тарифів
Платні послуги
Послуги транспорту
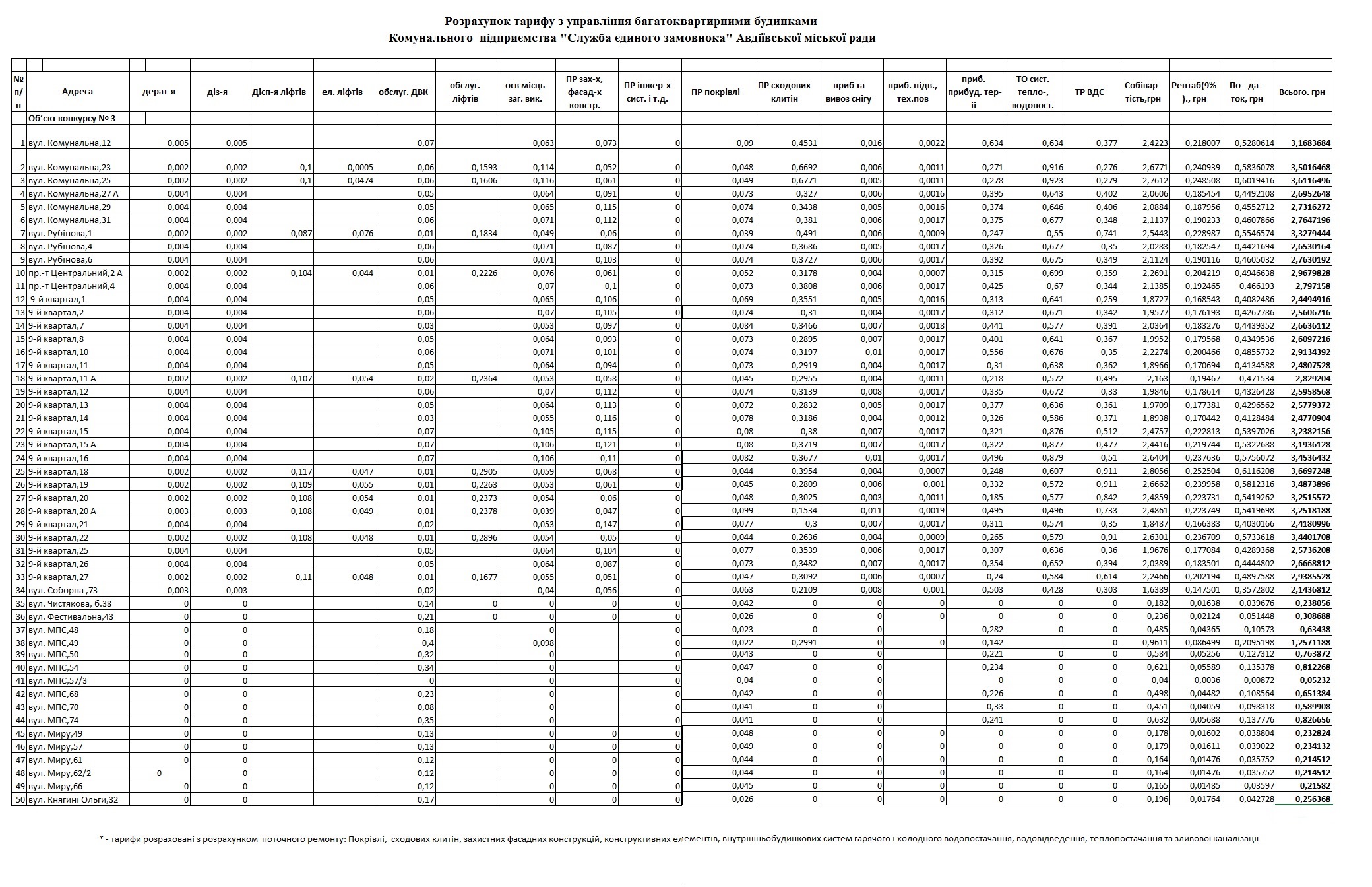
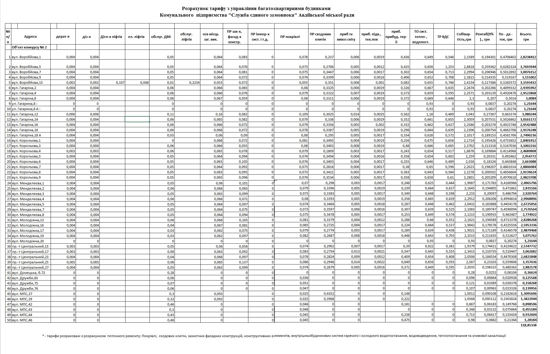
Структура тарифів
×
Close